Eenvoudig stelsel van vergelijkingen voor het berekenen van armsgat, schouderdaling en mouw

Voor de nerds onder jullie: een beetje wiskunde. Waar we in een vorig artikel met de regel van drie nog in de lagere school zaten, gaan we nu naar het derde middelbaar met het oplossen van een eenvoudig stelsel van vergelijkingen.
Ik leg dit uit aan de hand van drie breivoorbeelden: de berekeningen voor een eenvoudige armsgatuitsnijding, een schouderdaling en een mouw.

Is het nodig om dit te begrijpen? Nee. Je kan dit ook te weten komen door gissen en aanpassen. Maar ik hou van exact uitrekenen, daarom doe ik het zo. En de berekening lijkt heel lang, maar eens je het onder de knie hebt, gaat het heel snel, binnen de minuut heb je het resultaat.

Algemene regel: wat links en rechts van het teken = staat, moet gelijk zijn. Dan heb je 'een vergelijking'.

Voorbeeld 1: de armsgatuitsnijding

Je wil een armsgatuitsnijding berekenen voor een ingezette mouw. Je stekenverhouding is bvb. 10 cm = 23 st = 30 nld. Dit zijn de gewenste afmetingen:

Met de regel van drie berekenen we het aantal steken en het aantal naalden:

  • 2,5 cm breed = 5,75 st; afgerond: 6 st
  • 6,5 cm breed = 14,95 st; afgerond: 15 st
  • 7 cm hoog = 21 nld; afgerond naar een even getal = 22 nld

We moeten dus eerst aan weerszijden 6 st afkanten. 

Daarna gaan we schuin omhoog en moeten we aan weerszijden nog de resterende 9 st minderen (15 st - 6 st reeds afgekant). Dit doen we door telkens 1 steek te minderen over de resterende 20 nld (22 nld - 2 nld reeds gebreid). Maar om de hoeveel naalden moeten we dit doen?

We delen 20 door 9 en bekomen 2,222... Dit getal ligt tussen 2 en 3. Dit betekent dat we een aantal keer om de twee naalden (onbekende x) en een aantal keer om de drie naalden (een andere onbekende y) zullen moeten minderen.
Het totaal aantal te minderen steken is x + y = 9
Het totaal aantal naalden waarover we minderen is 2x + 3y = 20 (want x aantal keer om de 2 naalden en y aantal keer om de drie naalden)
We zetten nu de beide vergelijkingen onder elkaar, de vergelijking met het meest aantal keer x bovenaan en de x en de y mooi onder elkaar (netjes noteren maakt het overzichtelijk).

We willen in de tweede vergelijking evenveel keer x als in de eerste. Daarvoor moeten we alle termen van beide zijden vermenigvuldigen met 2 (dus 2 keer x, 2 keer y en 2 keer 9). Logisch, want als 1 appel = 0,75 euro, dan 2 appels = 1,5 euro, en zo blijft de weegschaal in evenwicht.

We trekken nu de tweede vergelijking af van de eerste (dus 2x - 2x, 3y - 2y en 20 - 18).

We bekomen: 0x +1y = 2, korter: y = 2. We weten dus al dat we 2 keer zullen moeten minderen om de 3 naalden (want y was om de drie naalden).

We vervangen nu de y in de tweede vergelijking door 2 omdat we dit al weten.

Om die 2 weg te werken, kunnen we langs beide zijden 2 aftrekken (ook logisch, als we op een weegschaal met twee armen aan beide zijden 2 kg wegnemen, zal ze in evenwicht blijven).

We bekomen x = 7. We weten dus dat we 7 keer om de 2 naalden zullen moeten minderen.

Resultaat armsgatuitsnijding

Minder voor het armsgat aan weerszijden:

  • 1 x 6 st
  • 7 x 1 st om de 2 nld
  • 2 x 1 st om de 3 nld
Je hebt nu in totaal 15 st geminderd en je bent 22 naalden verder.
 
Dit is slechts één voorbeeld van een afronding voor het armsgat. Sally Melville gebruikt deze ronding veelvuldig. Maar het kan natuurlijk ook anders.

Voorbeeld 2: de schouderdaling

Je stekenverhouding is bvb. 10 cm = 30 st = 36 nld. Dit zijn de gewenste afmetingen:


Met de regel van drie berekenen we het aantal steken en het aantal naalden:

  • 12 cm breed = 36 st
  • 3 cm hoog = 10,8 nld; afgerond naar een even getal = 10 nld

Aangezien we voor de schouder maar om de twee naalden minderen, doen we dit 5 keer (10 nld gedeeld door 2). Maar hoeveel steken moeten we per keer minderen?

We delen 36 door 5 en bekomen 7,2. Dit getal ligt tussen 7 en 8. Dit betekent dat we een aantal keer 7 steken (onbekende x) en een aantal keer 8 steken (onbekende y) zullen moeten minderen.
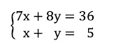
Het totaal aantal te minderen steken is 7x + 8y = 36
Het totaal aantal naalden waarover we minderen is x + y = 5
We zetten nu de beide vergelijkingen onder elkaar, de vergelijking met het meest aantal keer x bovenaan en de x en de y mooi onder elkaar (netjes noteren maakt het overzichtelijk) en lossen het stelsel op zoals bij de armuitsnijding in voorbeeld 1.

We willen in de tweede vergelijking evenveel keer x als in de eerste. Daarvoor moeten we alle termen van beide zijden vermenigvuldigen met 7 (dus 7 keer x, 7 keer y en 7 keer 5).

We trekken nu de tweede vergelijking af van de eerste (dus 7x - 7x, 8y - 7y en 36 - 35).

We bekomen y = 1. We weten dus al dat we 1 keer 8 steken moeten minderen (want y was 8 steken).

We vervangen nu de y in de tweede vergelijking door 1 omdat we dit al weten.

Om die 1 weg te werken, trekken we langs beide zijden 1 af.

We bekomen x = 4. We weten dus dat we 4 keer 7 steken moeten minderen.

Resultaat schouder

Het mooiste resultaat bekomen we als we eerst het grootste aantal steken afkanten en daarna het kleinste aantal. De schouder gaat dan lichtjes hol omhoog naar de hals toe.

Minder voor de schouder om de twee naalden als volgt:

  • 1 x 8 st
  • 4 x 7 st
Je hebt nu in totaal 36 st geminderd en je bent 10 naalden verder.

Voorbeeld 3: de mouw

Een heel klein beetje moelijker dan de bovenstaande berekeningen, maar laat dat je vooral niet afschrikken.

Je stekenverhouding is bvb. 10 cm = 17 st = 22 nld. Dit zijn de gewenste afmetingen:



Met de regel van drie berekenen we het aantal steken en het aantal naalden:
  • 24 cm breed = 40,8 st; afgerond 41 st
  • 38 cm breed = 64,6 st; afgerond 65 st
  • deze twee getallen moeten ofwel even ofwel oneven zijn; als het ene getal even is en het andere getal oneven, wijzig dan één van de twee
  • 40 cm hoog = 88 nld; indien je moet afronden, ga dan steeds voor een even getal

Te meerderen steken:

  •  65 st - 41 st = 24 st (aantal steken aan mouwkop - aantal steken aan pols)
  • 24 st / 2 = 12 st (delen door 2 omdat de helft links en de helft rechts gemeerderd wordt)
Er moet dus aan weerszijden 12 st gemeerderd worden in 88 naalden (de meerderingen beginnen pas na de polsboord). Maar aangezien we de 12e steek niet willen meerderen in de 88e naald, want daar begint de mindering van de mouwkop, moeten we boven die 12e meerdering nog een deel breien en dus verdelen we die 88 naalden in 13 delen i.p.v. 12.
Daarenboven willen we enkel meerderen na de even naalden, want dan kunnen we de ssk en de k2tog mooi breien.

Dus:
we delen 88 door 13 en bekomen 6,769.... Dit getal ligt tussen 6 en 8  (even getallen kiezen). Dit betekent dat we een aantal keer om de zes naalden (onbekende x) en een aantal keer om de acht naalden (onbekende y) zullen moeten minderen.
Het totaal aantal delen tussen de minderingen is x + y = 13
Het totaal aantal naalden waarover we minderen is 6x + 8y = 88 (want x aantal keer om de 6 naalden en y aantal keer om de 8 naalden)
We zetten nu de beide vergelijkingen onder elkaar, de vergelijking met het meest aantal keer x bovenaan en de x en de y mooi onder elkaar (netjes noteren maakt het overzichtelijk) en lossen het stelsel op.

We willen in de tweede vergelijking evenveel keer x als in de eerste. Daarvoor moeten we alle termen van beide zijden vermenigvuldigen met 6 (dus 6 keer x, 6 keer y en 6 keer 13).

We trekken nu de tweede vergelijking af van de eerste (dus 6x - 6x, 8y - 6y en 88 - 78).

We bekomen y = 5. We weten dus al dat we 5 keer een deel van 8 naalden hebben (want y was 8 naalden).

We vervangen nu de y in de tweede vergelijking door 5 omdat we dit al weten.

Om die 5 weg te werken, kunnen we langs beide zijden 5 aftrekken.


We bekomen x = 8. We weten dus dat we 8 keer een deel van 6 naalden hebben (want x was 6 naalden).

Resultaat mouw

Meerder na de polsboord aan weerszijden als volgt:

  • 8 x 1 st om de 6 nld
  • 4 x 1 st om de 8 nld (4 delen van y)
  • brei nu nog 8 nld tot aan de mindering van de mouwkop (5e deel van y)
Je hebt nu in totaal aan weerszijden 12 st gemeerderd en je bent 88 naalden verder.

Tip 

Deze berekening voor de mouw kan je ook gebruiken voor de berekening van een V-hals.

En nu hebben we met z'n allen een koffie verdiend!

Reacties